Hydrophilic Lubricious Coating + End-To-End Services
From coating materials to process equipment, a one-stop lubrication solution.
Hydrophilic Lubricating Coating
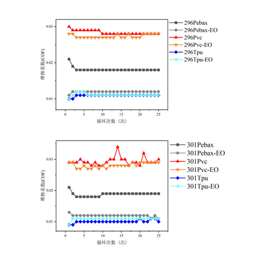
Our hydrophilic lubricious coating technology demonstrates excellent substrate compatibility, achieving uniform and strong adhesion even on low-surface-energy materials like silicone, polypropylene, and polyethylene. It maintains superior lubricity and stability post-sterilization (ethylene oxide and radiation).
This product is a photocurable coating solution formulated with hydrophilic polymers, designed to form a durable, uniform micron-level coating on medical catheters and guidewires. Its key characteristics include:
- Exceptional Lubricity & Stability: Provides long-lasting hydrophilic lubrication for an extended device lifespan.
- Rapid Hydration: Achieves a low-friction surface within seconds upon water contact.
- Enhanced Clinical Performance: Improves pushability to reduce patient discomfort and tissue trauma.
Product Features
- Safe Formulation: Utilizes PAM and PVP as base polymers, whose safety and stability have been extensively validated.
- Sterilization Compatibility: Compatible with both Ethylene Oxide (EO) and electron beam sterilization methods.
- Low Particulates: Formulated to meet the stringent requirements for Class III intravascular devices, ensuring microscopic integrity.
- Superior Lubricity & Adhesion: For products with specialized hydration packaging, it meets critical requirements for radiation stability, hydrolytic aging resistance, and high water retention.
- Excellent Flexibility: Ensures uniform coating performance on multi-material assemblies. Maintains strong adhesion on complex surfaces (e.g., spring or scored guidewires) without compromising wire hardness.
- Broad Substrate Compatibility: The coating is substrate-friendly and does not compromise the integrity of the underlying device.
- Facilitated Regulatory Approval: The coating is listed with the FDA and has an extensive registration history with regulatory authorities in multiple countries and regions, simplifying the customer's registration process.
Comprehensive Lubrication Solution
Roviding safe and long-lasting surface lubrication protection for various medical devices from cardiovascular intervention to extracorporeal circulation.
Products for Hydrophilic Lubrication
Our hydrophilic lubricating coating products reduce friction and enhance surface slipperiness, ensuring smooth operation and long-lasting protection for medical devices, industrial pipelines, and precision components.
Blog posts
New Summer
These are the people who make your life easier. Large tiles were arranged on the counter top plate near the window of the living room, they were connected to the kitchen...
New Summer
These are the people who make your life easier. Large tiles were arranged on the counter top plate near the window of the living room, they were connected to the kitchen...
New Summer
These are the people who make your life easier. Large tiles were arranged on the counter top plate near the window of the living room, they were connected to the kitchen...
New Summer
These are the people who make your life easier. Large tiles were arranged on the counter top plate near the window of the living room, they were connected to the kitchen...






